UV-2600i Plus/UV-2700i Plus - Anwendungen
UV-Vis Spectrophotometer
Most of the documents on the LITERATURE is available in PDF format. You will need Adobe Acrobat Reader to open and read PDF documents. If you do not already have Acrobat Reader, you can download it free at the Adobe's Website. Click the GET ADOBE READER icon on the left to download a free copy of Adobe Acrobat Reader.
Elektrizität, Elektronik und Optik
Bandlückenmessungen für Verbindungs-Halbleiter

Die diffusen Reflektionsspektren von zwei Arten von Verbindungs-Halbleitern (rote Linie: Culn0.5Ga0.5Se2, blaue Linie: CulnSe2) wurden mit der ISR-2600Plus Integrationskugel gemessen. Es ist offensichtlich, dass der Absorptionsrand (Position, an der die Reflexion abnimmt) je nach Probe variiert. Dieser Unterschied deutet auf eine unterschiedliche Bandlücke* dieser Proben hin. (Die Proben wurden von Wada Laboratory, Fakultät für Wissenschaft und Technologie, Ryukoku University bereitgestellt.) Die Bandlücken der Proben wurden mithilfe der Tauc-Methode berechnet. Die erzielten Ergebnisse waren 1,27 eV für Culn0.5Ga0.5Se2 (rote Linie) und 0,99 eV für CulnSe2 (blaue Linie). * Der Begriff Bandlücke bezieht sich auf den Energieunterschied zwischen dem Maximum der Valenzbandes, die voller Elektronen ist, und dem Minimum des Leitungsbandes, das keine Elektronen enthält.
Chemikalien
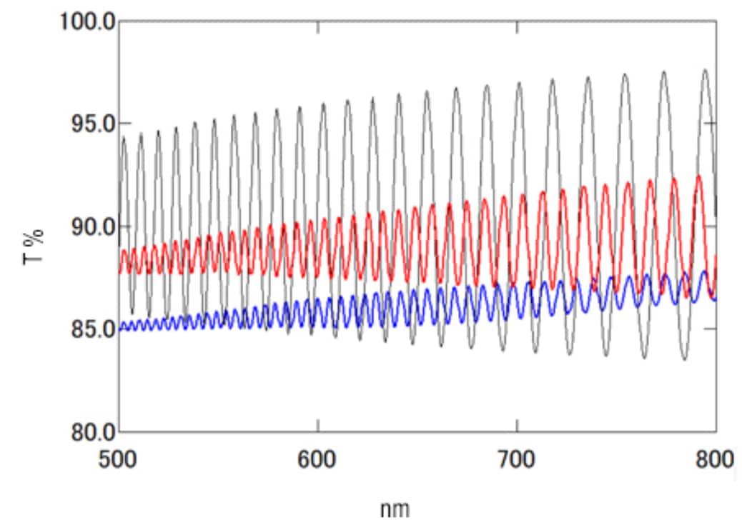
Dickemessungen von Frischhaltefolien

Welleninterferenzen können auftreten, wenn Licht durch eine Folie hindurchtritt. Die Dicke einer Probe kann durch die Verwendung dieser Interferenzwellenformen bestimmt werden. Die Abbildung zeigt Transmissionsdaten für eine Frischhaltefolie. Eine deutliche Interferenzwelle wird erzeugt. Mithilfe der optionalen Software zur Messung der Filmstärke wird die Dicke der Folie mit 10,4 μm berechnet. (Achtung) Der Brechungsindex der Probe muss für die Dicke der Folie eingegeben werden.
Medikamente
Bewertung der thermischen Stabilität (Tm) von Oligonukleotidtherapeutika

Proben von Oligonukleotidtherapeutika (9 bis 60 µM) wurden mit TMSPC™-8i und 1 mm optischen Wegzellen analysiert. Da der UV-2600i Plus / 2700i Plus über einen weiten Dynamikbereich messen kann, ist es möglich, eine Analyse der thermischen Stabilität von Nukleinsäuremedikamenten durch die Bestimmung des Tm-Wertes aus der Schmelzkurve durchzuführen.
Bau
Messungen der Transmission von Fensterglas

Zwei Arten von Fensterglas wurden unter Verwendung der ISR-2600Plus Integrationskugel gemessen. Die Probe, die durch die rote Linie dargestellt wird, ist bei 800 nm oder mehr hochtransparent für Nahinfrarotlicht. Die durch die blaue Linie dargestellte Probe hingegen ist offenbar nicht sehr transparent für Nahinfrarotlicht.
Kosmetik
Messung des Ultraviolett-Schutzfaktors für UV-Schutzkleidung

Der UV-Schutz, den Kleidung und ein Regenschirm bieten, wurde mit einem ISR-2600Plus Integrationskugelzubehör analysiert. Das Transmissionsspektrum des Regenschirms (grün) zeigt, dass sehr wenig UV-Strahlung durch den Regenschirm hindurchgeht. In Bezug auf die Kleidung blockieren die schwarzen Bereiche mehr UV-Strahlung als die weißen Bereiche.
Textilien
Gesamtes Transmissionsspektrum von CNF

Eine ISR-2600Plus Integrationskugel wurde verwendet, um das gesamte Transmissionsspektrum von Cellulose-Nanofasern (CNF) zu messen. Je nach verwendeten Rohstoffen können die Spektren variieren, die Transparenz kann variieren, und die spektralen Tendenzen im ultravioletten Bereich können variieren.
Lebenswissenschaften
DNA- und Proteinmessungen

Die rote und blaue Linie sind die Absorptionsspektren für dsDNA und BSA (bovinisches Serumalbumin).
Die Konzentrationswerte betragen 45 ng/μL für dsDNA und 2,2 mg/mL für BSA.
Lebensmittel
Vitaminmessungen

Dies zeigt die Absorptionsspektren für Riboflavin (Vitamin B2).
Die Probenkonzentrationen sind, in der Reihenfolge der höchsten Absorbanz, 0,08,
0,04, 0,02 und 0,01 mg/mL.